OVERVIEW

TIMELINE

1a LISTING

1b LISTING MAP

NOTE: Map shows an UNOPEN ROAD ALLOWANCE to Boston Ave.

2 MAP: WALK TO CHURCH

From Property along Boston Ave to Church.

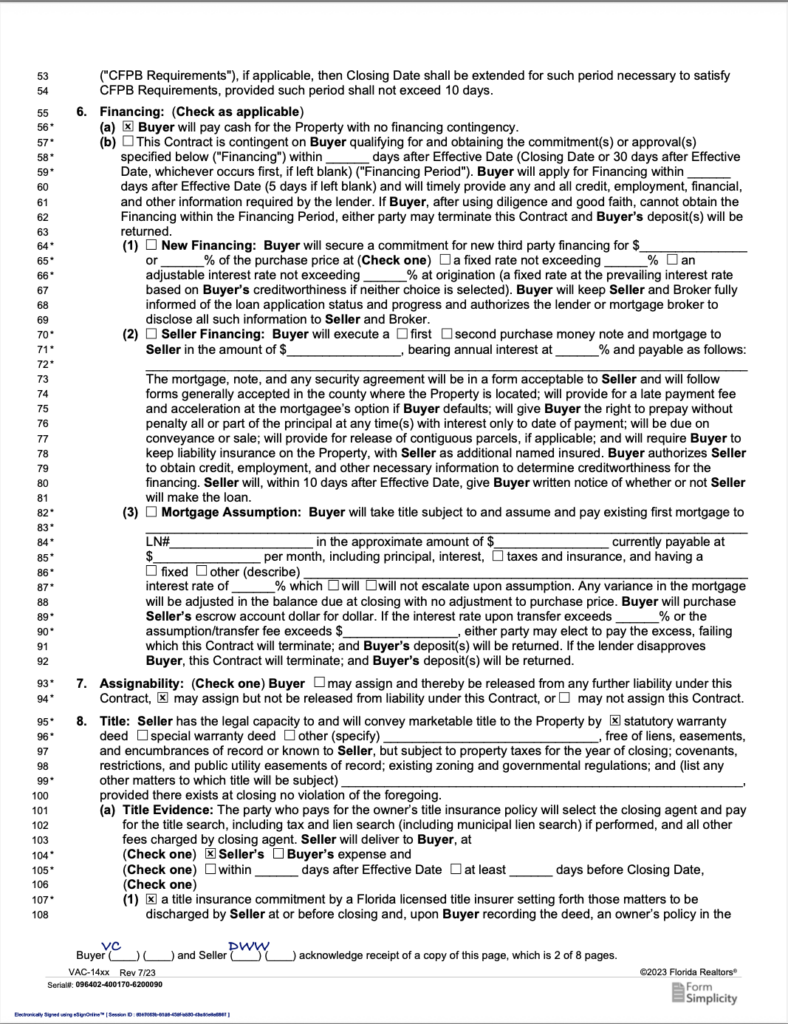
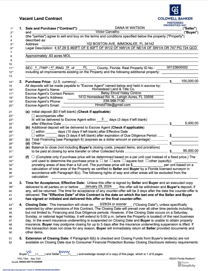
3 VACANT LAND CONTRACT conditional to ZVL

Pages 1 - 8

4 ZONING VERIFICATION LETTER

QUESTIONS/CLARIFICATION TO COLLIER COUNTY PRIOR TO PURCHASE

Shows ACCESS to Boston Ave.

5 ZONING VERIFICATION RESPONSE FROM COLLIER COUNTY

CONFIRMING SE ACCESS TO BOSTON AVE. Pg 3 #11

6a SURVEY

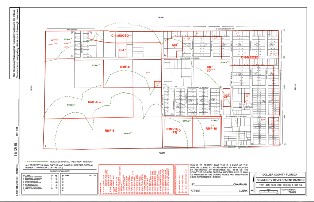
6b COLLIER COUNTY ZONING MAP

Shows ACCESS to Boston Ave.

7 LAND TITLE & WARRANTY DEED

Should have guaranteed Right of way to a 'PUBLIC ROAD'.

8 LAND TITLE INSURANCE

9 LETTER FROM TRINITY HOLDINGS ATTORNEY - JUNE 5/25

Denying SE Access to Boston Ave; Despite Obvious Contradictions.

10 ZONING VERIFICATION LETTER FROM COLLIER COUNTY - REVERSAL JUNE 18/25

SE R/W TO BOSTON AVE REVERSED (15 MONTHS AFTER WE PURCHASED THE PROPERTY)

11 LETTER FROM COLLIER COUNTY ATTORNEY

Denying SE Access to Boston Ave; Despite Obvious Contradictions.

12a COLLIER COUNTY - OFFICIAL MAPS
Boston Ave extends East to West past our property; 102 Boston Ave

12b COLLIER COUNTY - MAP BELOW CONTRADICTS THE ABOVE
NOW CHANGED FOR THEIR CONVENIENCE a/o July '25
RENDERING OUR PROPERTY LANDLOCKED

13 FLORIDA STATUTES 704.01

GUARANTEES LANDLOCKED PROPERTIES ACCESS TO A PUBLIC ROAD

14 UNITY of TITLE/OWNERSHIP...

WARRANTY DEEDS

15 CC PROPERTY ASSESSMENTS & LEGAL DESCRIPTION


16 R/W ACCESS SKETCH OF OUR PROPERTY TO MAIN STREET
USED SINCE 1977


17 R/W ACCESS ENTRANCE OF OUR PROPERTY TO MAIN STREET
USED SINCE 1977


18a PROPOSED SW EASEMENT; PROPERTY TO MAIN STREET
YET TO DOCUMENT AND REGISTER AT CC.


18b PROPOSED SW EASEMENT; PROPERTY TO MAIN STREET
YET TO DOCUMENT AND REGISTER AT CC. SKETCH ENLARGED.


**************************